⤴️-Paid Ad- Check advertising disclaimer here. Add your banner here.🔥
-
Posts
1,160 -
Joined
-
Last visited
Content Type
Profiles
Forums
Articles
Everything posted by RBFX Support
-
roboforex Market Fundamental Analysis by RoboForex
RBFX Support replied to RBFX Support's topic in Fundamental Analysis
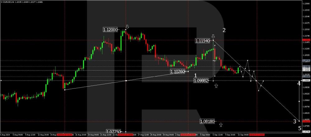
EURUSD: rising US core inflation has almost ruled out a 50-basis-point Fed interest rate cut The EURUSD rate is slightly correcting following a decline caused by a rise in US inflation. Discover more in our analysis for 12 September 2024. EURUSD forecast: key trading points US core inflation unexpectedly rose by 0.3% in August from July, marking the highest reading in four months The likelihood of a 50-basis-point Federal Reserve interest rate cut at the next meeting is virtually ruled out, while the odds of a 25-basis-point cut (market expectations) are 87% The European Central Bank is expected to lower the key rate by 25 basis points today According to analysts, the EURUSD rate may fall to 1.0200 by the end of the year amid ECB monetary policy tightening EURUSD forecast for 12 September 2024: 1.0986 and 1.0950 Fundamental analysis US core inflation unexpectedly rose in August, driven by increased housing and travel prices. The core CPI, excluding food and energy costs, increased by 0.3% from July, marking the highest reading over the past four months. Headline inflation ran at 0.2% m/m and 2.5% y/y. This unexpected rise in inflation may prevent the Federal Reserve from lowering interest rates aggressively despite signs of a slowing employment market. The current inflation data changed market expectations, pushing the EURUSD rate slightly down. The likelihood of a 50-basis-point Federal Reserve interest rate cut at the upcoming meeting is now virtually ruled out. Instead, expectations of a 25-basis-point cut are estimated at 87%, while the odds of a more significant 50-basis-point reduction have dropped to 13%. The market has already priced everything in, although analysts had expected to get clarity on interest rate issues only by Friday. At the same time, the European Central Bank is expected to lower the key rate by 25 basis points today. This decision is due to the fact that inflation in the eurozone eased to 2.2% in August, wage growth slowed, and the GDP Q2 growth forecast was revised to 0.2%. According to analysts, the EURUSD rate may decline to 1.0200 by the end of the year amid ECB monetary policy tightening in response to the weakening economy. The current ECB meeting may directly impact today’s EURUSD forecast and become a significant catalyst for the currency market, showing that the regulator can cut rates faster than currently expected. RoboForex Market Analysis & Forex Forecasts Attention! Forecasts presented in this section only reflect the author’s private opinion and should not be considered as guidance for trading. RoboForex bears no responsibility for trading results based on trading recommendations described in these analytical reviews. Sincerely, The RoboForex Team- 348 replies
-
- anlaysis
- dailyanalysis
-
(and 3 more)
Tagged with:
-
Market Technical Analysis by RoboForex
RBFX Support replied to RBFX Support's topic in Technical Analysis
EURUSD declined: US political debates and inflation report are ahead The EURUSD pair hovers at a four-week low on Wednesday. The market appears wary. Discover more in our analysis for 11 September 2024. EURUSD technical analysis On the EURUSD H4 chart, the market has completed a downward wave, reaching 1.1015. A correction towards 1.1046 (testing from below) is expected today, 11 September 2024. Once the correction is complete, the downward wave could develop to 1.1030. The EURUSD pair has declined markedly. The market has reduced its activity level as the news landscape is highly busy. Read more - EURUSD Forecast Attention! Forecasts presented in this section only reflect the author’s private opinion and should not be considered as guidance for trading. RoboForex bears no responsibility for trading results based on trading recommendations described in these analytical reviews. Sincerely, The RoboForex Team -
roboforex Market Fundamental Analysis by RoboForex
RBFX Support replied to RBFX Support's topic in Fundamental Analysis
USDCAD: the US dollar continues to strengthen The US consumer price index at last year’s level and the rest of the fundamental data package may further drive the USDCAD pair. Discover more in our analysis for 11 September 2024. USDCAD forecast: key trading points The Thomson Reuters/Ipsos primary consumer sentiment index in Canada (PCSI): previously at 50.06 The US consumer price index (m/m) for August: previously at 0.2%, projected at 0.2% The US consumer price index (y/y) for August: previously at 2.9%, projected at 2.5% USDCAD forecast for 11 September 2024: 1.3700 Fundamental analysis The primary consumer sentiment index is calculated by Thomson Reuters/Ipsos and measures consumer sentiment based on a target group survey. The index increased to 50.06 last month, indicating positive consumer sentiment. The forecast for 11 September 2024 may be disappointing for the Canadian dollar, with the USDCAD rate continuing its ascent after a correction. The expected fundamental news for the USDCAD pair may be called neutral. According to analytical forecasts, almost all data may be released in line with expectations or with minor deviations. There is a package of US news, including year-over-year and month-over-month consumer price indices for August. They reflect changes in consumer goods and services prices and are key indicators for the direction of purchases and US inflation. Readings below the forecast are considered negative for the US dollar, while those above are considered positive. The forecast suggests that the CPI index may remain flat at 0.2% month-over-month and slightly decrease to 2.5% year-over-year. Expectations that the estimates will align with actual data are so far low. An increase in indicators may further boost the USDCAD pair. Despite the news, the USDCAD forecast for 11 September 2024 appears positive for the US dollar as it may strengthen its position against the Canadian dollar. Actual data aligning with the forecast may also drive growth in the pair. RoboForex Market Analysis & Forex Forecasts Attention! Forecasts presented in this section only reflect the author’s private opinion and should not be considered as guidance for trading. RoboForex bears no responsibility for trading results based on trading recommendations described in these analytical reviews. Sincerely, The RoboForex Team- 348 replies
-
- anlaysis
- dailyanalysis
-
(and 3 more)
Tagged with:
-
Market Technical Analysis by RoboForex
RBFX Support replied to RBFX Support's topic in Technical Analysis
USDCHF under pressure ahead of US inflation data The USDCHF rate is slightly correcting but remains within a descending channel. Discover more in our analysis for 10 September 2024. USDCHF technical analysis The USDCHF H4 chart shows that the market is forming a consolidation range around 0.8477. The price could break above the 0.8500 level today, 10 September 2024. Breaking above the 0.8500 mark may be considered a signal for a further upward movement, opening the potential for a growth wave towards 0.8555. The USDCHF currency pair is under pressure due to expectations of crucial US inflation data, which may impact the Federal Reserve’s decision to cut interest rates. Read more - USDCHF Forecast Attention! Forecasts presented in this section only reflect the author’s private opinion and should not be considered as guidance for trading. RoboForex bears no responsibility for trading results based on trading recommendations described in these analytical reviews. Sincerely, The RoboForex Team -
roboforex Market Fundamental Analysis by RoboForex
RBFX Support replied to RBFX Support's topic in Fundamental Analysis
USDJPY remains flat: the market is awaiting signals The USDJPY pair has halted its rise and is consolidating. Investors have a busy week ahead. Find out more in our analysis for 10 September 2024. USDJPY forecast: key trading points The USDJPY halted its ascent The market is still betting on a decisive monetary policy tightening by the Bank of Japan USDJPY forecast for 10 September 2024: 139.70 Fundamental analysis The USDJPY rate is hovering around 143.25 on Tuesday. Last week’s gains for the yen appear to be offset, with the US dollar regaining ground ahead of the release of crucial inflation statistics this week. The JPY rate rose by more than 3.00% over the past week, with the USDJPY pair falling to annual lows. This became possible due to expectations of future decisive steps by the Bank of Japan. In making a decision to raise interest rates before the end of the year, the BoJ could be supported by the continued growth of wages in the country and persistent inflationary pressure. It became known a little earlier that the Japanese economic growth rate slowed in Q2. The country’s GDP grew by 2.90% year-over-year, falling short of the preliminary estimate of 3.10%. The USDJPY forecast is still neutral. RoboForex Market Analysis & Forex Forecasts Attention! Forecasts presented in this section only reflect the author’s private opinion and should not be considered as guidance for trading. RoboForex bears no responsibility for trading results based on trading recommendations described in these analytical reviews. Sincerely, The RoboForex Team- 348 replies
-
- anlaysis
- dailyanalysis
-
(and 3 more)
Tagged with:
-
Market Technical Analysis by RoboForex
RBFX Support replied to RBFX Support's topic in Technical Analysis
GBPUSD is in equilibrium: the US dollar came under pressure The GBPUSD pair has strengthened its position. The market is disappointed in the outlook following Friday’s US employment statistics. Find out more in our analysis for 9 September 2024. GBPUSD technical analysis The GBPUSD H4 chart shows that the market has completed a corrective wave, reaching 1.3237. Following the news, it declined to 1.3147 before rising to 1.3198. The GBPUSD rate is expected to fall to 1.3110 and form a consolidation range around this level today. Investors in the GBPUSD pair are preoccupied with assessing risks and monitoring the news landscape. Read more - GBPUSD Forecast Attention! Forecasts presented in this section only reflect the author’s private opinion and should not be considered as guidance for trading. RoboForex bears no responsibility for trading results based on trading recommendations described in these analytical reviews. Sincerely, The RoboForex Team -
roboforex Market Fundamental Analysis by RoboForex
RBFX Support replied to RBFX Support's topic in Fundamental Analysis
Gold (XAUUSD) remains in a sideways range; the market awaits US inflation statistics The XAUUSD price has been trading in a sideways range for three weeks; the direction of the price movement out of the range may determine the future trend. The market will focus on US inflation data this week. Find out more in our XAUUSD analysis for today, 9 September 2024. XAUUSD forecast: key trading points Market focus: market participants are awaiting US inflation statistics this week Current trend: gold is consolidating within a sideways range XAUUSD forecast for 9 September 2024: 2,532 and 2,470 Fundamental analysis Friday’s US employment market statistics aligned with the forecasts, with nonfarm payrolls showing growth of 142,000 and the unemployment rate declining to 4.2%. US stock indices responded to this data with a fall, and gold also corrected downwards from its annual high of 2,532 USD to 2,500 USD. Market participants will focus on US inflation statistics this week, with the Consumer Price Index (CPI) and the Producer Price Index (PPI) scheduled for release. A decline in inflation will exert pressure on the USD and help strengthen gold. Conversely, a rise in inflation will support the US dollar, potentially causing XAUUSD quotes to fall. RoboForex Market Analysis & Forex Forecasts Attention! Forecasts presented in this section only reflect the author’s private opinion and should not be considered as guidance for trading. RoboForex bears no responsibility for trading results based on trading recommendations described in these analytical reviews. Sincerely, The RoboForex Team- 348 replies
-
- anlaysis
- dailyanalysis
-
(and 3 more)
Tagged with:
-
Market Technical Analysis by RoboForex
RBFX Support replied to RBFX Support's topic in Technical Analysis
USDJPY under pressure: the Japanese economy is recovering The USDJPY rate has been falling for the fourth consecutive trading session. Traders are awaiting the US employment report. Find out more in our analysis for 6 September 2024. USDJPY technical analysis The USDJPY H4 chart shows that the market is forming a new consolidation range around 143.43, extending it to 144.22 and down to 142.84. The price could break below the lower boundary of the range today, 6 September 2024. Weak US economic data continue to pressure the USDJPY rate, increasing the likelihood of a more aggressive Federal Reserve interest rate cut as early as this month. Read more - USDJPY Forecast Attention! Forecasts presented in this section only reflect the author’s private opinion and should not be considered as guidance for trading. RoboForex bears no responsibility for trading results based on trading recommendations described in these analytical reviews. Sincerely, The RoboForex Team -
roboforex Market Fundamental Analysis by RoboForex
RBFX Support replied to RBFX Support's topic in Fundamental Analysis
EURUSD rose: the market awaits US employment market statistics Supported by expectations regarding the Federal Reserve’s policy, the EURUSD pair returned above 1.1100, rising for the third consecutive session. Find out more in our analysis for 6 September 2024. EURUSD forecast: key trading points The EURUSD pair has resumed steady growth Today, investors are awaiting the crucial US employment sector releases for August EURUSD forecast for 6 September 2024: 1.1133, 1.1026, and 1.0985 Fundamental analysis The EURUSD rate climbed to 1.1115. The first release of US employment market data for August surprised the market yesterday. ADP private sector jobs increased by only 99,000, missing the forecast of 144,000 and falling short of the previous increase of 122,000. While there is no direct correlation between these figures and nonfarm payrolls, the sentiment is clear: the employment market is losing jobs. This may prompt the US Federal Reserve to act even more swiftly than planned. In this context, today’s statistics are crucial, with the US unemployment rate report for August scheduled for release this evening. The main forecast suggests a decrease to 4.2% from 4.3%. Nonfarm payrolls could expand by 164,000 following previous growth of 114,000. However, statistics may bring surprises. The EURUSD forecast suggests an increase in volatility later this afternoon. RoboForex Market Analysis & Forex Forecasts Attention! Forecasts presented in this section only reflect the author’s private opinion and should not be considered as guidance for trading. RoboForex bears no responsibility for trading results based on trading recommendations described in these analytical reviews. Sincerely, The RoboForex Team- 348 replies
-
- anlaysis
- dailyanalysis
-
(and 3 more)
Tagged with:
-
Market Technical Analysis by RoboForex
RBFX Support replied to RBFX Support's topic in Technical Analysis
AUDUSD is strengthening amid the Reserve Bank of Australia’s hawkish stance The AUDUSD rate is stabilising following a speech by the RBA’s chief. Find out more in our analysis for 5 September 2024. AUDUSD technical analysis The AUDUSD H4 chart shows that the market has corrected towards 0.6740. A decline to 0.6700 is expected today, 5 September 2024. A breakout below this level may signal further movement towards the first target of 0.6650. The AUDUSD rate still has the potential to strengthen thanks to stable foreign trade and the Reserve Bank of Australia’s tight monetary policy stance, even amid easing inflation. Read more - AUDUSD Forecast Attention! Forecasts presented in this section only reflect the author’s private opinion and should not be considered as guidance for trading. RoboForex bears no responsibility for trading results based on trading recommendations described in these analytical reviews. Sincerely, The RoboForex Team -
roboforex Market Fundamental Analysis by RoboForex
RBFX Support replied to RBFX Support's topic in Fundamental Analysis
USDJPY heads down: demand for the yen has risen significantly The USDJPY pair is losing ground. The market favours the yen as a safe-haven asset. Discover more in our analysis for 5 September 2024. USDJPY forecast: key trading points The USDJPY pair fell to a two-month low Japan’s robust domestic statistics and weak US reports are supporting the yen USDJPY forecast for 5 September 2024: 141.46 Fundamental analysis The USDJPY rate halted its decline near the 143.69 level. The pair is hovering near a two-month low after an active two-day sell-off. The yen’s strength is now based on the latest statistics from Japan. Data showed that real wages in the country rose in July for the second consecutive month, adding 0.4% y/y. Overall cash earnings increased by 3.6%. This aligns with the Bank of Japan’s forecast for moderate economic growth rates. Additionally, such data supports expectations of wage increases, which will lead to higher overall inflation. In addition to domestic statistics, the yen benefitted from growing market demand for safe-haven assets following the release of relatively weak US statistics. The figures reminded investors of a potential recession in the US economy, which boosted demand for safe-haven assets. The USDJPY forecast suggests local growth in the yen. RoboForex Market Analysis & Forex Forecasts Attention! Forecasts presented in this section only reflect the author’s private opinion and should not be considered as guidance for trading. RoboForex bears no responsibility for trading results based on trading recommendations described in these analytical reviews. Sincerely, The RoboForex Team- 348 replies
-
- anlaysis
- dailyanalysis
-
(and 3 more)
Tagged with:
-
Market Technical Analysis by RoboForex
RBFX Support replied to RBFX Support's topic in Technical Analysis
USDCAD rebounds from five-month low: declining oil prices may hurt Canada’s economy The USDCAD pair has been on an upward trend. The Canadian dollar is pressured by weak forecasts for commodity exports and currency inflows. Discover more in our analysis for 4 September 2024. USDCAD technical analysis The USDCAD H4 chart shows that the market has reached the downward wave’s local target of 1.3400. A correction is forming towards the 1.3570 level and is expected to be completed today, 4 September 2024. The USDCAD pair has strengthened its position. The market took advantage of worsening oil market conditions and supported the US dollar position. Read more - USDCAD Forecast Attention! Forecasts presented in this section only reflect the author’s private opinion and should not be considered as guidance for trading. RoboForex bears no responsibility for trading results based on trading recommendations described in these analytical reviews. Sincerely, The RoboForex Team -
roboforex Market Fundamental Analysis by RoboForex
RBFX Support replied to RBFX Support's topic in Fundamental Analysis
Gold (XAUUSD) is under pressure but holds above the crucial support level XAUUSD price fell below 2,500 USD on Tuesday but stayed above the significant 2,470-2,480 USD support area. The market will focus on US employment data on Thursday and Friday. Find out more in our XAUUSD analysis for today, 4 September 2024. XAUUSD forecast: key trading points Market focus: market participants await US employment statistics at the end of the week Current trend: although gold is trading within an uptrend, there are risks of a downward correction XAUUSD forecast for 4 September 2024: 2,532 and 2,470 Fundamental analysis XAUUSD quotes are trading within an uptrend, supported by the beginning of US Federal Reserve monetary policy easing. However, gold has yet to reach the all-time high of 2,532 USD, as it encounters active selling pressure near this level. The US employment market statistics due Thursday and Friday may influence future asset movements. Automatic Data Processing Inc. (ADP) will publish employment data on Thursday, while nonfarm payrolls and the unemployment rate will be released on Friday. A decline in employment could weaken the USD and help strengthen gold. Conversely, job growth could support the US dollar and push XAUUSD into a downward correction. RoboForex Market Analysis & Forex Forecasts Attention! Forecasts presented in this section only reflect the author’s private opinion and should not be considered as guidance for trading. RoboForex bears no responsibility for trading results based on trading recommendations described in these analytical reviews. Sincerely, The RoboForex Team- 348 replies
-
- anlaysis
- dailyanalysis
-
(and 3 more)
Tagged with:
-
Market Technical Analysis by RoboForex
RBFX Support replied to RBFX Support's topic in Technical Analysis
EURUSD analysis: EURUSD falls as market bets on ECB policy easing The EURUSD pair has experienced a decline for the third consecutive trading day, reflecting investor sentiment towards potential policy easing by the European Central Bank (ECB). With inflation trends supporting this outlook, market participants are increasingly expecting an ECB interest rate cut in September. EURUSD technical analysis The EURUSD H4 chart shows that the market has formed a consolidation range around 1.1050 and extended it to 1.1076. The price is expected to decline to 1.1050 and break below the range today, 3 September 2024, expanding the wave towards 1.1025 The EURUSD pair remains under significant selling pressure, with the market's focus on the upcoming ECB meeting. Read more - EURUSD Forecast Attention! Forecasts presented in this section only reflect the author’s private opinion and should not be considered as guidance for trading. RoboForex bears no responsibility for trading results based on trading recommendations described in these analytical reviews. Sincerely, The RoboForex Team -
roboforex Market Fundamental Analysis by RoboForex
RBFX Support replied to RBFX Support's topic in Fundamental Analysis
USDCHF: the US dollar awaits a chance to strengthen The release of Switzerland’s CPI and GDP data and the US PMI data may help the US dollar strengthen its position. Find out more in our analysis dated 3 September 2024. USDCHF forecast: key trading points Switzerland’s Consumer Price Index (m/m) for August: previously at -0.2%, projected at 0.1% Switzerland’s GDP (q/q): previously at 0.5%, projected at 0.5% US manufacturing PMI: previously at 49.6, projected at 48.0 USDCHF forecast for 3 September 2024: 0.8572 Fundamental analysis The Consumer Price Index reflects the dynamics of consumer prices for goods and services. Investors view a higher-than-expected reading as a positive factor for economic health, while a weaker-than-expected reading is considered negative. For August, Switzerland’s Consumer Price Index (m/m) is projected to return to positive territory. The previous reading was -0.2%, while a forecast for 3 September 2024 is optimistic, suggesting 0.1%. A stronger-than-expected actual CPI reading may strengthen the Swiss franc. GDP reflects the aggregate value of all goods and services produced in a country (only end products are considered, excluding the costs of raw materials). Switzerland releases quarterly GDP changes in percentage terms, demonstrating the economy’s comprehensive dynamics. Analysis for 3 September 2024 suggests that the GDP reading may remain flat at 0.5%, and the actual figure will show whether expectations are realised. An increase in the indicator may help strengthen the Swiss franc against the US dollar, while a decrease in GDP will drive further growth in the USDCHF rate. The US manufacturing PMI evaluates the activity of purchasing managers in the industrial sector, reflecting the state and the dynamics of industrial processes. According to a preliminary estimate, the index is expected to decrease to 48.0 points. Given that figures have been decreasing for the past several months, the actual reading in the current period may be equal to or below the projected value. RoboForex Market Analysis & Forex Forecasts Attention! Forecasts presented in this section only reflect the author’s private opinion and should not be considered as guidance for trading. RoboForex bears no responsibility for trading results based on trading recommendations described in these analytical reviews. Sincerely, The RoboForex Team- 348 replies
-
- anlaysis
- dailyanalysis
-
(and 3 more)
Tagged with:
-
Market Technical Analysis by RoboForex
RBFX Support replied to RBFX Support's topic in Technical Analysis
Gold (XAUUSD) is below 2,500 USD, but the trend remains upward Despite XAUUSD's price falling below 2,500 USD on Monday, growth prospects remain. This week, market participants are closely watching the latest XAUUSD news, particularly focusing on US employment data, which is expected to significantly impact the XAUUSD outlook. XAUUSD technical analysis On the H4 chart, XAUUSD is trading within an ascending price channel just below 2,500 USD but above the upper boundary of the completed triangle pattern. Although XAUUSD has fallen below 2,500 USD, there is still potential for growth. This week, market participants will focus on the US employment market data, which could drive further gold price movements. Read more - XAUUSD Forecast Attention! Forecasts presented in this section only reflect the author’s private opinion and should not be considered as guidance for trading. RoboForex bears no responsibility for trading results based on trading recommendations described in these analytical reviews. Sincerely, The RoboForex Team -
roboforex Market Fundamental Analysis by RoboForex
RBFX Support replied to RBFX Support's topic in Fundamental Analysis
EURUSD: the euro attempts to regain ground on US Labor Day The eurozone’s PMI and the US holiday may not weaken the US dollar. Find out more in our EURUSD forecast dated 2 September 2024. EURUSD forecast: key trading points Today is US Labor Day The eurozone’s manufacturing PMI for August: previously at 45.6, projected at 45.6 EURUSD forecast for 2 September 2024: 1.1005 and 1.1096 Fundamental analysis Today is a holiday in the US due to Labor Day, which may give the euro a chance to strengthen against the US dollar, as many US traders are unlikely to participate in trading. The PMI index evaluates the activity of purchasing managers in the industrial sector. This index reflects the state of the industry and the dynamics of industrial processes in the eurozone. Traders closely follow this data as purchasing managers are the first to receive information about their companies’ operations, making the PMI a crucial measure of the general economic situation. Readings above 50.0 points indicate industrial growth, while values below 50.0 points suggest a downturn. EURUSD analysis for 2 September 2024 shows that the PMI index may remain flat at 45.6, indicating some stability in the industrial sector. However, as it is still below 50.0 points, it is unlikely to impact the EURUSD rate positively. Investors await a decision on the Federal Reserve interest rates, due on 18 September 2024. US inflation data remains stable; analysts suggest a 50-basis-point change is unlikely at this stage. RoboForex Market Analysis & Forex Forecasts Attention! Forecasts presented in this section only reflect the author’s private opinion and should not be considered as guidance for trading. RoboForex bears no responsibility for trading results based on trading recommendations described in these analytical reviews. Sincerely, The RoboForex Team- 348 replies
-
- anlaysis
- dailyanalysis
-
(and 3 more)
Tagged with:
-
Market Technical Analysis by RoboForex
RBFX Support replied to RBFX Support's topic in Technical Analysis
EURUSD falls to a two-week low: the market assesses risks The EURUSD pair declined on Friday, supported by robust US macroeconomic data. Read more in our analysis for 30 August 2024. EURUSD technical analysis On the H4 chart, EURUSD quotes have reached a local target at 1.1055. An upward correction to 1.1121 (a test from below) is possible today, 30 August 2024. Following this, a further decline towards 1.1040 is expected, marking the first decline phase. EURUSD may interrupt its five-week rally and close the week with a decline. Technical indicators for today’s EURUSD forecast suggest a possible correction to 1.1121, followed by a decline to 1.1040. Read more - EURUSD Forecast Attention! Forecasts presented in this section only reflect the author’s private opinion and should not be considered as guidance for trading. RoboForex bears no responsibility for trading results based on trading recommendations described in these analytical reviews. Sincerely, The RoboForex Team -
roboforex Market Fundamental Analysis by RoboForex
RBFX Support replied to RBFX Support's topic in Fundamental Analysis
USDJPY forecast: investors anticipate BoJ rate hike The USDJPY pair is experiencing a slight correction on Friday after two consecutive days of gains. To understand the latest market movements, delve into our analysis for 30 August 2024. USDJPY forecast: key trading points Japan's unemployment rate for July 2024 increased to 2.7%. Core CPI in Tokyo rose by 2.4% in August 2024 Japan's industrial production grew by 2.8% in July 2024, rebounding from a significant decline USDJPY forecast for 30 August 2024: 141.60, 139.70, and 137.77 Fundamental analysis The USDJPY rate was buoyed by recent US GDP and Initial Jobless Claims data, alleviating recession concerns and bolstering the USD. Concurrently, Japan's economic data fuelled expectations of a potential BoJ interest rate hike, which could strengthen the yen within today's USDJPY forecast. Japan's unemployment rate increased to 2.7% in July 2024, up from 2.5% in June, marking the highest level since August 2023. Tokyo's core consumer price index rose at an annualised rate of 2.4% in August 2024, marking the fourth consecutive month of acceleration and surpassing market expectations of a 2.2% increase. Retail sales in Japan grew at an annualised rate of 2.6% in July 2024, slowing from June's 3.8% rise and falling short of the anticipated 2.9% growth. Japan's industrial production expanded by 2.8% in July 2024, recovering from a sharp -4.2% decline. However, this growth fell short of the forecasted 3.3% (according to preliminary data). RoboForex Market Analysis & Forex Forecasts Attention! Forecasts presented in this section only reflect the author’s private opinion and should not be considered as guidance for trading. RoboForex bears no responsibility for trading results based on trading recommendations described in these analytical reviews. Sincerely, The RoboForex Team- 348 replies
-
- anlaysis
- dailyanalysis
-
(and 3 more)
Tagged with:
-
Market Technical Analysis by RoboForex
RBFX Support replied to RBFX Support's topic in Technical Analysis
USDJPY remains in a consolidation phase: the market is conserving strength The USDJPY pair has remained within a sideways range for the fourth consecutive session. Investors have adopted a waiting mode as there has been no significant news. Find out more in our analysis dated 29 August 2024. USDJPY technical analysis The USDJPY H4 chart shows that the market continues developing a consolidated range around 145.70 without establishing a clear trend. The price could rise to 145.45 today, 29 August 2024. Subsequently, the range is expected to expand to 143.40. The USDJPY pair is consolidating while the news stream is limited, and the macroeconomic calendar is empty. Technical indicators in today’s USDJPY forecast suggest a potential decline to the 141.60, 139.70, and 137.77 levels. Read more - USDJPY Forecast Attention! Forecasts presented in this section only reflect the author’s private opinion and should not be considered as guidance for trading. RoboForex bears no responsibility for trading results based on trading recommendations described in these analytical reviews. Sincerely, The RoboForex Team -
roboforex Market Fundamental Analysis by RoboForex
RBFX Support replied to RBFX Support's topic in Fundamental Analysis
EURUSD: US GDP data may trigger a correction in the pair ECB officials’ speeches, US initial jobless claims, and the GDP data release could heat today’s market. Find out more in our analysis dated 29 August 2024. EURUSD forecast: key trading points A speech by European Central Bank official Isabel Schnabel A speech by European Central Bank official Philip R. Lane The Eurogroup meeting US initial jobless claims: previously at 232,000, projected at 232,000 Q2 US GDP: previously at 1.4%, projected at 2.8% EURUSD forecast for 29 August 2024: 1.1090 and 1.1150 Fundamental analysis The EURUSD analysis for 29 August 2024 shows that the market is awaiting a large set of economic data from the eurozone, including speeches by ECB officials, Schnabel and Lane, and the Eurogroup meeting. ECB officials’ speeches often indicate future monetary policy and economic expectations, and increased market volatility can be expected during them. A set of data, including US initial jobless claims, will be released after the US trading session opens. A preliminary forecast suggests that the figure will remain flat at 232,000, which may support the US dollar’s strength against the euro. GDP is the aggregate value of all goods and services produced in a country. Only end products are considered, excluding the production of raw materials. The forecast for 29 August 2024 suggests a 2.8% increase in US GDP, double the previous reading. If actual data aligns with expectations, the EURUSD rate could decline markedly. RoboForex Market Analysis & Forex Forecasts Attention! Forecasts presented in this section only reflect the author’s private opinion and should not be considered as guidance for trading. RoboForex bears no responsibility for trading results based on trading recommendations described in these analytical reviews. Sincerely, The RoboForex Team- 348 replies
-
- anlaysis
- dailyanalysis
-
(and 3 more)
Tagged with:
-
Market Technical Analysis by RoboForex
RBFX Support replied to RBFX Support's topic in Technical Analysis
USDCAD remains weak as the market tests lows last seen on 8 March 2024 The USDCAD pair fell to a six-month low, primarily driven by the weakness of the US dollar. However, current developments are not particularly favourable for the Canadian dollar either. Find out more in our analysis dated 28 August 2024. USDCAD technical analysis The USDCAD H4 chart shows that the market maintains its downward trajectory without a significant correction. The market has formed a consolidation range around 1.3485 and broke below its lower boundary today, 28 August 2024, pushing the USDCAD rate down to 1.3440. The USDCAD pair fell to a six-month low and is poised for a further decline. Technical indicators in today’s USDCAD forecast suggest that the downward wave could continue to the 1.3366 and 1.3263 levels. Read more - USDCAD Forecast Attention! Forecasts presented in this section only reflect the author’s private opinion and should not be considered as guidance for trading. RoboForex bears no responsibility for trading results based on trading recommendations described in these analytical reviews. Sincerely, The RoboForex Team -
roboforex Market Fundamental Analysis by RoboForex
RBFX Support replied to RBFX Support's topic in Fundamental Analysis
EURUSD: risks of a correction are increasing The EURUSD rate declined after unsuccessful attempts to rise above 1.1200. Find out more in our analysis dated 28 August 2024. EURUSD forecast: key trading points Investor confidence in a 50-basis-point Federal Reserve interest rate cut grows The preliminary Q2 US GDP estimate is expected to show an increase of 2.8% The core Personal Consumption Expenditures price index is projected to rise by 2.7% EURUSD forecast for 28 August 2024: 1.1150 and 1.0980 Fundamental analysis The EURUSD rate fell below 1.1150 on Wednesday morning, potentially signalling a downward correction. However, as part of today’s EURUSD forecast, the US dollar remains under pressure due to growing expectations of a Federal Reserve interest rate cut and concerns about US recession risks. Investors are confident that the Federal Reserve will lower interest rates as early as next month after Chair Jerome Powell’s dovish comments last week. Now, the focus is on whether this will be a 50-basis-point rate cut. According to the FedWatch tool from CME Group, the likelihood of such a significant interest rate reduction has increased to 36% from 29% a week ago. At the end of the trading week, traders will focus on economic indicators. The preliminary Q2 US GDP estimate is due tomorrow, with the economy expected to grow by 2.8%. The core PCE price index, the Federal Reserve’s preferred inflation gauge, will be released on Friday. It is projected to increase to 2.7% from the previous 2.5%. According to analysts, the inflation rate would need to significantly exceed expectations to change forecasts for several interest rate cuts by the regulator. RoboForex Market Analysis & Forex Forecasts Attention! Forecasts presented in this section only reflect the author’s private opinion and should not be considered as guidance for trading. RoboForex bears no responsibility for trading results based on trading recommendations described in these analytical reviews. Sincerely, The RoboForex Team- 348 replies
-
- anlaysis
- dailyanalysis
-
(and 3 more)
Tagged with:
-
Market Technical Analysis by RoboForex
RBFX Support replied to RBFX Support's topic in Technical Analysis
EURUSD remains at highs: the market turns against the US dollar The EURUSD rate has resumed growth following a correction, with the main movements around 1.1168. Concerns about the Middle East have dampened investor optimism about an imminent Federal Reserve interest rate cut. EURUSD technical analysis The EURUSD H4 chart shows that the market has declined to 1.1150 and corrected towards 1.1178. Another corrective movement is possible today, 27 August 2024, aiming for 1.1181. Although the EURUSD pair returns to an annual high, market sentiment could depend on external factors. Technical indicators in today’s EURUSD forecast suggest a potential decline to 1.1150, possibly continuing to 1.0980. Read more - EURUSD Forecast Attention! Forecasts presented in this section only reflect the author’s private opinion and should not be considered as guidance for trading. RoboForex bears no responsibility for trading results based on trading recommendations described in these analytical reviews. Sincerely, The RoboForex Team -
roboforex Market Fundamental Analysis by RoboForex
RBFX Support replied to RBFX Support's topic in Fundamental Analysis
Brent price begins to rise, surpassing 80.00 USD Brent price is experiencing steady growth, surpassing 80.00 USD per barrel; today, the focus is on the API oil stock data. Find out more in our Brent analysis for today, 27 August 2024. Brent forecast: key trading points US data: the market awaits the API US oil inventory statistics today Brent forecast for 27 August 2024: 78.00 and 81.70 Fundamental analysis Brent quotes have halted their decline and reversed upwards, finding support at a local daily low of 75.00 USD. Oil prices are being supported by a rise in stock markets, driven by the US Federal Reserve’s intention to start a monetary policy easing cycle, with the first rate cut in September. Brent price will depend on US oil stock data from the American Petroleum Institute (API) during today’s American session. At the same time, the Energy Information Administration (EIA) will provide market participants with oil inventory statistics tomorrow. After the release of these figures, volatility in oil prices may increase. RoboForex Market Analysis & Forex Forecasts Attention! Forecasts presented in this section only reflect the author’s private opinion and should not be considered as guidance for trading. RoboForex bears no responsibility for trading results based on trading recommendations described in these analytical reviews. Sincerely, The RoboForex Team- 348 replies
-
- anlaysis
- dailyanalysis
-
(and 3 more)
Tagged with: